Kumpulan Contoh Soal Matematika SMA Logaritma Kelas X Sampai XII Lengkap dengan Pembahasannya
Kumpulan Contoh Soal Matematika SMA Logaritma Kelas X Sampai XII Lengkap dengan Pembahasannya | Kelasnesia - Kembali lagi dengan Kelasnesia, Pada artikel kali ini Kelasnesia memberikan sebuah artikel berjudul Kumpulan Contoh Soal Matematika SMA Logaritma Kelas X Sampai XII Lengkap dengan Pembahasannya, saya telah mempersiapkan tulisan ini dengan sebaik mungkin hanya untuk anda pengunjung setia Kelasnesia.
Artikel ini merupakan bagian dari kategori Artikel, Kumpulan Soal Matematika, Matematika, SMA, Soal dan Pembahasan, yang saya tulis semoga hanya menjadi referensi anda. Semoga isi konten dari artikel ini dapat anda pahami. Sekian kata pengantar yang saya lampirkan, silahkan baca artikel secara lengkap pada paragraf berikutnya.
Artikel ini merupakan bagian dari kategori Artikel, Kumpulan Soal Matematika, Matematika, SMA, Soal dan Pembahasan, yang saya tulis semoga hanya menjadi referensi anda. Semoga isi konten dari artikel ini dapat anda pahami. Sekian kata pengantar yang saya lampirkan, silahkan baca artikel secara lengkap pada paragraf berikutnya.
Kumpulan Contoh Soal Matematika SMA Logaritma Kelas X Sampai XII Lengkap dengan Pembahasannya
Author Picks
![]()  | 
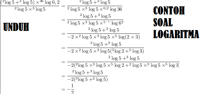
| Soal Matematika SMA Logaritma | 
Pada kesempatan kali ini Blog KelasNesia Kumpulan Bank Soal UNBK, akan berbagi Kumpulan Contoh Soal Matematika SMA Logaritma Kelas X Sampai XII, guna untuk menambah semangat dan mempermudah dalam latihan soal, cukup praktis karena hasil download Contoh Soal Matematika SMA Logaritma Kelas X Sampai XII, bisa di simpan di smartphon kalian dan bisa di buka kapan saja, sehingga kapan pun bisa belajar dengan banyak latihan soal.
Apa itu logaritma?
Logaritma ialah operasi matematika yang adalah kebalikan(atau invers) dari eksponen atau pemangkatan.
Rumus dasar logaritma:
{\displaystyle a^{b}=c\ \Longleftrightarrow \ ^{a}\log {c}=b} {\displaystyle a^{b}=c\ \Longleftrightarrow \ ^{a}\log {c}=b}
Pada formula ini, a ialah basis atau pokok dari logaritma tersebut.
Beberapa buku karya ilmiah menyebutkan {\textstyle ^{a}\log {x}} {\textstyle ^{a}\log {x}} sebagai {\textstyle \log _{a}{x}} {\textstyle \log _{a}{x}}. Notasi yang kedua lazimnya ditemukan pada kitab dan karya ilmiah yang berbahasa inggris
Berikut ini sedikit cerminan dari misal soal Logaritma yang bakal Blog KelasNesia bagikan kali ini :
Berikut ini ialah contoh-contoh soal logaritma dalam latihan Matematika SMA dan
jawabannya/ penyelesaiannya/ penjelasannya. Yang perlu diacuhkan adalah
bagaimana kita menggarap soal-soal logaritma dengan teliti step by step. Gambar di
atas ialah sifat-sifat dasar logaritma. Semoga dapat memberi tidak banyak pencerahan
untuk seluruh yang hendak belajar pelajaran logaritma ini.
1) Jika log 2 = a
maka log 5 adalah …
jawab :
log 5 = log (10/2) = log 10 – log 2 = 1 – a (karena log 2 = a)
2) √15 + √60 - √27 = ...
Jawab :
√15 + √60 - √27
= √15 + √(4x15) - √(9x3)
= √15 + 2√15 - 3√3
= 3√15 - 3√3
= 3(√15 - √3)
3) log 9 per log 27 =...
Jawab :
log 9 / log 27
= log 3² / log 3³
= (2. log 3) / (3 . log 3) <-- ingat sifat log a^n = n. log a
= 2/3
4) √5 -3 per √5 +3 = ...
Jawab :
(√5 - 3)/(√5 + 3)
= (√5 - 3)/(√5 + 3) x (√5 - 3)/(√5 - 3) <-- kali akar sekawan
= (√5 - 3)²/(5 - 9)
= -1/4 (5 - 6√5 + 9)
= -1/4 (14 - 6√5)
= -7/2 + 3/2√5
= (3√5 - 7)/2
5 Jika a log 3 = -0,3 tunjukkan bahwa a = 1/81 3√9
Jawab :
ª log 3 = -0,3
log 3/log a = -0.3
log a = -(10/3)log 3
log a = log [3^(-10/3)]
a = 3^(-10/3) = 3^(-4) (3²)^(⅓ )
a= 1/81 3√9
Untuk kalian yang membutuhkan soal logaritma ini bisa kalian unduh pada link dibawah ini secara gratis :
Demikianlah Kumpulan Contoh Soal Matematika SMA Logaritma Kelas X Sampai XII, Semoga bermanfaat
Bagian akhir mengenai Kumpulan Contoh Soal Matematika SMA Logaritma Kelas X Sampai XII Lengkap dengan Pembahasannya dan sebagai penutup saya mohon maaf jika ada bagia-bagian yang tidak anda pahami, karena kesempurnaan hanya milik tuhan, jangan lupa bookmark dan bagikan ke teman-teman anda jika isi dari artikel ini bermanfaat. Terimakasih
Disclaimer: Isi konten berupa File, Gambar, Video atau point-point di dapat dari berbagai sumber media lain yang beredar di internet. Hak cipta sepenuhnya merupakan hak milik sumber terkait. Situs ini tidak bertangggung jawab atas kerusakan dan ketidakabsahan terkait dari ini konten.
